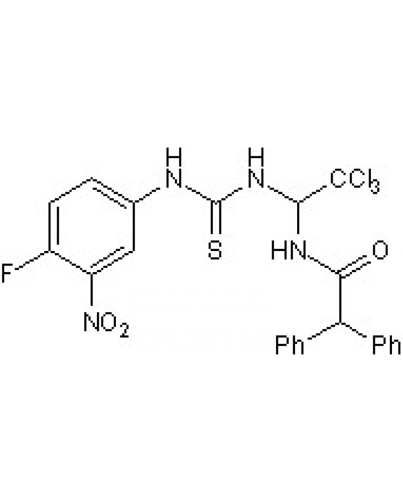
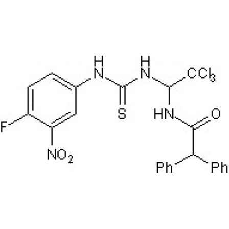
CGK733
Select A Tab:
A selective inhibitor of ATR and ATM kinases. Induces cell death in prematurely senescent breast cancer cells
                        | Technical Data | |
| Chemical Formula | C23H18Cl3FN4O3S | 
| CAS Number | 905973-89-9 | 
| Molecular Weight | 555.84 | 
| Purity | >=98% | 
| Storage | 0°C (short term) -20°C (long term) desiccated | 

