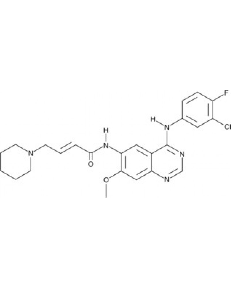
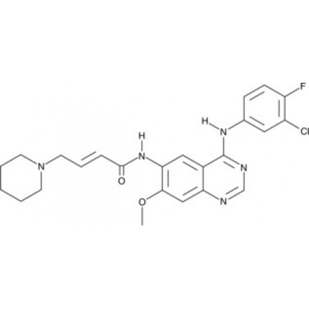
Dacomitinib(PF-299804)
Select A Tab:
A second generation pan-ErbB receptor tyrosine kinase inhibitor
| Technical Data | |
| Chemical Formula | C24H25ClFN5O2 |
| CAS Number | 1110813-31-4 |
| Molecular Weight | 306.36 |
| Purity | >=98% |
| Storage | 0°C (short term) -20°C (long term) desiccated |

