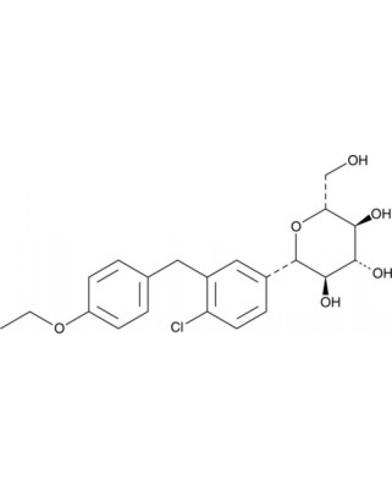
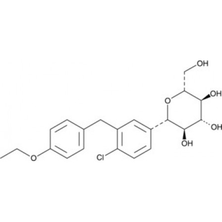
Dapagliflozin
Select A Tab:
Inhibiting renal glucose reabsorbtion through the sodium-glucose cotransporter (SGLT) offers an insulin-independent alternative to controlling blood glucose concentrations in patients with type 2 diabetes.
                        | Technical Data | |
| Chemical Formula | C21H25ClO6 | 
| CAS Number | 461432-26-8 | 
| Molecular Weight | 408.9 | 
| Purity | >=98% | 
| Storage | 0°C (short term) -20°C (long term) desiccated | 

