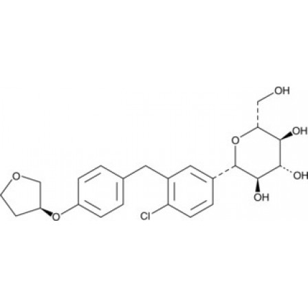
Empagliflozin
Select A Tab:
Inhibiting renal glucose reabsorption through the sodium-glucose cotransporter (SGLT) offers an insulin-independent alternative to controlling blood glucose concentrations in patients with type 2 diabetes.
| Technical Data | |
| Chemical Formula | C23H27ClO7 |
| CAS Number | 864070-44-0 |
| Molecular Weight | 450.9 |
| Purity | >=98% |
| Storage | 0°C (short term) -20°C (long term) desiccated |

