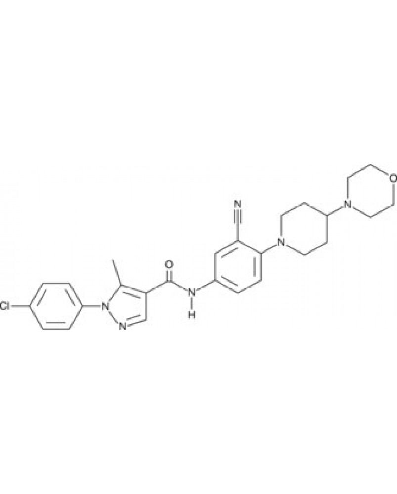
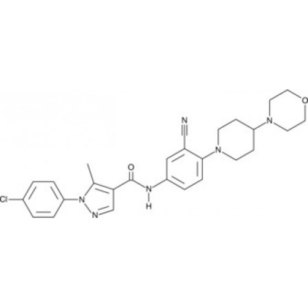
Y-320
Select A Tab:
An inhibitor of the release of IL-17 by CD4 T cells stimulated with IL-15, either alone or in combination with CXCL12 and anti-CD3 monoclonal antibody.
                        | Technical Data | |
| Chemical Formula | C27H29ClN6O2 | 
| CAS Number | 288250-47-5 | 
| Molecular Weight | 505 | 
| Purity | >=98% | 
| Storage | 0°C (short term) -20°C (long term) desiccated | 

